Multi Ejector and pivoting-supported R744 application with AC for supermarkets
- Authors: Contiero L.1, Pardiñas Á.2, Hafner A.1
-
Affiliations:
- Norwegian University of Science and Technology
- SINTEF Energi AS
- Issue: Vol 112, No 3 (2023)
- Pages: 149-164
- Section: Original Study Articles
- URL: https://freezetech.ru/0023-124X/article/view/633858
- DOI: https://doi.org/10.17816/RF633858
- ID: 633858
Cite item
Abstract
CO2 refrigeration units are gaining market shares thanks to the ability to provide an energy efficient performance for industrial and commercial refrigeration applications in any climate. As with all the applications, the investment and operation costs should be kept as low as possible, to reduce the payback time and promote the introduction of innovative system solutions.
In this work the flexibility achieved by implementing the pivoting technology in a supermarket refrigeration application is investigated both at design- and partial load conditions. The air conditioning (AC) load is also considered within a wide range of ambient temperatures. The Multi Ejector block utilized will be analyzed in terms of performance and its effect on the compressor combinations at different operating conditions. The objective is to increase the flexibility of the centralized rack through a proper design and sizing of the compressor pack equipped with the pivoting technology, while maintaining the efficiency and reducing the
investment costs. This work shows that a Multi Ejector pivoting-supported system will be beneficial from the flexibility and capital costs point of view, and the benefit will be more consistent if the AC load is part of the integrated system architecture. Furthermore, a thorough investigation has been conducted whenever the ejector capacity is too high compared to the load, proposing two alternative solutions.
Full Text
1. ВВЕДЕНИЕ
Применение Постановления ЕС 517/2014 [1] по фторированным парниковым газам привело к замене этих рабочих веществ на менее вредные для окружающей среды хладагенты, например, CO2. Углекислый газ доказал свою надежность в северном климате и даже в более теплом климате, где последние разработки позволяют превзойти установки на основе гидрофторуглеродов [2]. Среди этих технологических разработок — испарители с избыточной подачей, механическое переохлаждение, эжекторы и многие другие. Однако, высокие инвестиционные затраты и меньшая компактность нового поколения интегрированных холодильных установок на базе CO2 сдерживают их широкомасштабное распространение.
С одной стороны, паровые эжекторы могут передавать нагрузку со среднетемпературных компрессоров (MT) на параллельные компрессоры, что позволяет снизить энергопотребление. С другой стороны, они не только увеличивают первоначальные затраты, но и значительно увеличивают рабочий объем параллельного компрессора в летнее время по многим причинам: пар, образующийся в процессе расширения, пар, захваченный и предварительно сжатый эжектором, нагрузка на систему кондиционирования, которая становится более ощутимой при высоких температурах. Как уже обсуждалось в [3, 4], значительные мощности, необходимые как для ступени средней температуры, так и для параллельного компрессора, могут быть еще больше сокращены при использовании технологии переключения. Переключающиеся компрессоры, т.е. технология, позволяющая широко взаимозаменять компрессоры ступени средней температуры и параллельные компрессоры для уменьшения общей мощности установленных компрессоров, позволяет бесступенчато регулировать холодопроизводительность. В работе [5] данный вопрос был рассмотрен как численно, так и экспериментально, с учетом только MT- и LT (низкотемпературных) нагрузок. В настоящей статье проводится численный анализ переключающихся компрессоров в крупном супермаркете, расположенном в Южной Европе. Была рассмотрена интеграция системы кондиционирования воздуха в широком диапазоне рабочих условий, а также их влияние на производительность эжектора. Выбранная комбинация компрессоров описана и проверена для всех условий эксплуатации, как при расчетной, так и при частичной нагрузке. Кроме того, обсуждается ограничение, связанное с наличием нагрузки кондиционирования воздуха, в случае, когда эжектор забирает слишком много хладагента со стороны средней температуры, что позволяет использовать одно или два решения, в зависимости от используемой мощности эжектора. Результаты обсуждаются с акцентом на производительность установленного компрессора, влияние производительности эжектора на распределение нагрузки, две стратегии управления производительностью эжектора и упрощенный анализ затрат.
2. ХОЛОДИЛЬНАЯ УСТАНОВКА СУПЕРМАРКЕТА CO2 С ПЕРЕКЛЮЧЕНИЕМ КОМПРЕССОРЫ В ТЕПЛОМ КЛИМАТЕ
На рис. 1 показана схема системы холодоснабжения супермаркета с CO2 с среднетемпературными потребителями, низкотемпературными потребителями и системой кондиционирования воздуха. Система с эжектором оснащена внутренним теплообменником (IHX), расположенным ниже по потоку от газоохладителя, который переохлаждает поток высокого давления и перегревает пар, всасываемый параллельными компрессорами, что регулируется с помощью перепускного клапана.
Рис. 1. Система холодоснабжения для компрессора CO2 с эжектором и «переключающимися» компрессорами.
Fig. 1. Ejector-supported CO2 compressor rack with “pivoting” compressors.
Потребность в кондиционировании воздуха удовлетворяется за счет охладителя жидкости, который работает под давлением промежуточного сосуда и охлаждает воду в соответствии с потребностью в кондиционировании. В системе присутствуют трехходовой клапан и датчик температуры на выходе, а байпас на водяном контуре срабатывает в зависимости от потребности. Регулировку можно производить как путем изменения массового расхода воды, так и путем изменения температуры воды на входе. Промежуточный сосуд, расположенный после испарителя кондиционера, подает жидкость в различные холодильные камеры. Два уровня температур кипения обеспечивают подачу пара на две ступени сжатия (низкой температуры и средней температуры). Компрессоры низкой температуры обязательно нуждаются в охлаждении через пароохладитель из-за высокой температуры нагнетания этих компрессоров. Хладагент на выходе из испарителей средней температуры попадает в отделитель жидкости, из которого хладагент подается как в компрессоры средней температуры, так и в эжектор. Если для увеличения производительности эжектора требуется больший поток хладагента, часть или даже весь поток, выходящий из промежуточного охладителя, может попадать в эжектор после смешивания двух потоков. В показанной на рисунке конфигурации два клапана, расположенные перед всасывающими патрубками компрессора, позволяют использовать так называемую «переключаемую» схему. Только один компрессор постоянно работает на стороне средней температуры, а также является постоянным параллельным компрессором, в то время как остальные три компрессора являются “переключаемыми” компрессорами. Такая схема должна обеспечить эффективное использование мощности компрессоров в течение года. На уровне низкой температуры (LT) два компрессора работают постоянно при заданном соотношении давлений.
В установке с эжектором очень важно регулирование производительности компрессора в зависимости от температурного режима средней температуры и кондиционирования воздуха. Кондиционирование воздуха представляет собой значительную нагрузку на холодильную систему и требует применения параллельного компрессора большой производительности. С другой стороны, параллельные компрессоры будут простаивать в холодное время года, и поэтому большая часть установленной мощности останется неиспользованной. Таким образом, «переключаемое» решение для компрессоров является необходимой функцией в новом поколении коммерческих холодильных установок на базе R744.
3. Методология
3.1 Исследованные условия эксплуатации и допущения
При проведении моделирования рассматривался агрегат с определенными параметрами и мощностью, ориентированный на типичные холодильные нагрузки для крупного супермаркета в одном из государств Южной Европы. Параметры компрессорного агрегата CO2 подбираются в соответствии с проектными условиями с учетом максимальных нагрузок и самой высокой температуры окружающей среды. В этих условиях количество компрессоров подбирается таким образом, чтобы производительность могла покрыть холодильную нагрузку, по возможности без каких-либо нарушений в системе из-за колебаний давления. Были рассмотрены следующие данные:
- Температура на выходе из газоохладителя варьируется в диапазоне 10–40°C, при этом в каждом конкретном случае учитывается оптимальное высокое давление (для сверхкритических условий, https://www.ipu.dk/products/simple-one-stage-co2/).
- Давление в ресивере 40 бар, т.е. кипение хладагента на уровне кондиционирования воздуха происходит при 5°C.
Многоэжекторная установка (Multi Ejector HP 1875 LE 400 CTM 6 производства компании Danfoss) с учетом технических ограничений, т.е. максимального перегрева на стороне всасывания эжектора (15 K). Когда производительность эжектора настолько велика, что требуемое количество хладагента выше, чем поток хладагента на выходе из испарителей средней температуры, мультиэжекторная установка может всасывать часть или даже весь поток, поступающий с выхода пароохладителя. Такое смешивание влияет на термодинамические свойства потока на всасывающем патрубке эжектора.
- Теплообменник IHX, расположенный ниже блока газоохладителя, позволяет контролировать перегрев параллельных компрессоров с помощью перепускного клапана, который настраивается на 10 K для каждого рабочего режима.
- Нагрузка на ступень средней температуры составляет 80 кВт, при температуре кипения -2°C (приблизительное давление 33 бар, с учетом насыщенного пара на выходе из испарителя).
- Нагрузка на ступень низкой температуры составляет 20 кВт, при температуре кипения -26°C (приблизительное давление 16 бар, без перегрева). Оба компрессора ступени низкой температуры работают в обоих рабочих режимах, и в следующих разделах вопрос их производительности не рассматривается. Как будет обсуждаться далее, они будут влиять на работу эжектора при частичной нагрузке.
- Нагрузка кондиционирования воздуха рассматривается как линейная функция температуры на выходе из газоохладителя (температуры окружающей среды).
Рис. 2. Принимаются во внимание следующие допущения:
- Линейная зависимость, описывающая разницу температур между CO2 и окружающим воздухом в газоохладителе/конденсаторе, достигающую 3 К и 0,5 К при 40 и 10°C соответственно.
- Рассматриваются стационарные условия.
- Предполагается, что поток пара и поток жидкости, выходящие из промежуточного сосуда, насыщены.
- Перепадами давления и потерями в трубопроводах и теплообменниках можно пренебречь.
- Перегрев на входе в компрессор низкой температуры равен 26 К, следовательно, температура на входе в компрессоры низкой температуры равна 0°C. Перегрев обеспечивается теплообменником, расположенным внутри ресивера для жидкости.
- Промежуточный охладитель, расположенный после компрессоров низкой температуры, обеспечивает теплообмен с окружающим воздухом при температурном напоре 1 К.
- Переохлаждение на 4 К рассматривается в секции конденсатора при докритических условиях.
- При самой низкой исследуемой температуре окружающей среды давление на стороне высокого давления поддерживается на уровне 55 бар для поддержания правильной работы компрессоров средней температуры в соответствии с рабочим диапазоном.
- Эффективность вышеупомянутого эжектора была рассчитана с помощью программного обеспечения Coolselector2. Как будет показано ниже, существует компромисс между IHX и эжектором [6, 7], и поэтому выполняется интерполяция между эффективностью эжектора и степенью переохлаждения.
- Эжектор забирает часть хладагента из системы всасывания средней температуры при температуре на выходе из газоохладителя 20°C и выше, в то время как при более низких температурах на выходе из газоохладителя эжектор выполняет функцию электронного расширительного клапана высокого давления (HPV).
Рис. 2. Исследованные профили нагрузки на охлаждение в диапазоне температур на выходе из газоохладителя.
Fig. 2. Cooling load profiles over the gas cooler outlet temperature range investigated.
3.2 Расчетная модель
В данной работе рассматривается реализация «переключающейся» компоновки компрессора в крупном супермаркете с помощью численного анализа. Расчетная модель в стационарном режиме была запрограммирована в EES (Engineering Equation Solver http://www.fchartsoftware.com/ees/). Что касается многоэжекторного устройства, то КПД эжектора был определен, как указано в [8], с использованием значений, которые были сопоставлены с CoolSelector. Реалистичные значения КПД эжектора необходимы для обеспечения достоверного моделирования холодильной установки, поскольку эжектор является основным компонентом, влияющим на распределение нагрузок между компрессорами средней температуры (MT) и параллельным компрессором (IT). Моделирование компрессоров проводилось с применением полиномиальных уравнений, реализованных в программном обеспечении производителя (https://www.bitzer.de/websoftware/), как показано в табл. 1. Для компрессоров с частотно-регулируемым приводом (ЧРП) также показан диапазон частот. В модели учитывается влияние плотности на массовый расход, создаваемый компрессором, поскольку полиномы рассчитываются для эталонного значения перегрева, равного 10 К.
Таблица 1. Характеристики компрессоров, выбранных на моделируемом испытательном стенде, и системы, в которой они используются (P=поддерживается переключение, NP=не поддерживается переключение, ЧРП=Частотно-регулируемый привод).
Table 1. Features of the compressors selected in the test-rig simulated and system where they are employed (P=pivoting-supported, NP=non pivoting-supported, VSD=Variable Speed Drive).
Модель компрессора | Справочный номер | Рабочий режим (P) | Рабочий режим (NP) | Смещение [м3/ч] (при частоте 50 Гц) | ЧРП | Система |
2FME-4K-40S | 1 | LT | LT | 6,4 | Да (30–70 Гц) | P и NP |
2GME-4K-40S | 2 | LT | LT | 5 | Нет | P и NP |
4MTE-10K-40S | 3 | MT | MT | 6,5 | Да (30–80 Гц) | P и NP |
4MTE-10K-40S | 4 | Переключающийся | IT | 6,5 | Нет | P и NP |
4JTC-15K-40P | 5 | IT | IT | 9,2 | Да (30–80 Гц) | P и NP |
4HTE-20K-40P | 6 | Переключающийся | IT | 12 | Нет | P и NP |
4GTE-30K-40P | 7 | Переключающийся | IT | 15 | Нет | P и NP |
4MTE-10K-40S | 8 | / | MT | 6,5 | Нет | NP |
4JTC-15K-40P | 9 | / | MT | 9,2 | Нет | NP |
4. Результаты
4.1 Производительность эжектора
Производительность эжектора зависит от его геометрической конструкции и условий эксплуатации. На нее в значительной степени влияет теплообменник IHX, расположенный перед входом, и степень переохлаждения, достигаемая в этом компоненте. В данном исследовании производительность эжектора и коэффициент эжекции сначала оценивались в программе CoolSelector, при этом все параметры были фиксированными, за исключением степени переохлаждения в теплообменнике IHX, которая выступала в качестве переменной. Изменяя давление на стороне высокого давления и относительную температуру газоохладителя на выходе, для каждого режима работы была построена зависимость эффективности эжектора от переохлаждения. Эта интерполяция была позже интегрирована в расчетную модель (рис. 3).
Рис. 3. Эффективность эжектора и коэффициент эжекции при расчетных нагрузках.
Fig. 3. Ejector efficiency and entrainment ratio at the design load conditions.
Можно отметить хорошее соответствие с результатами моделирования и CoolSelector, которые были использованы в качестве эталона точности модели, поскольку они основаны на экспериментальных данных, полученных компанией SINTEF. В них вошли данные 724 контрольных точек, разделенных, как показано в табл. 2. Как будет показано в следующем разделе, понижение температуры окружающей среды приводит к тому, что производительность эжектора снижается и он обеспечивает меньшую разгрузку компрессора средней температуры, т.е. компрессору средней температуры постепенно требуется больше мощности.
Таблица 2. Количество баллов, полученных при тестировании многоэжекторной установки HP 1875 LE 400 CTM 6 производства Danfoss, компанией SINTEF
Table 2. Number of points tested for the Multi Ejector HP 1875 LE 400 CTM 6 from Danfoss, by SINTEF
Секция 1 | Секция 2 | Секция 3 | Секция 4 | |
Количество точек | 463 | 126 | 58 | 77 |
4.2 Система с возможностью переключениея и эжектором в расчетных условиях
На рис. 4 показано, как компрессоры должны быть распределены по двум различным группам всасывания, среднего давления и IT, в зависимости от температуры на выходе газоохладителя и высокого давления, чтобы полностью обеспечить требуемую холодопроизводительность, включая кондиционирование воздуха. Кроме того, в верхней части каждого столбца показана «неиспользуемая производительность».
Рис. 4. Влияние применения "переключающихся" компрессоров на производительность компрессора, используемого в крупном супермаркете для таких условий работы, когда высокое давление регулируется многоэжекторной установкой.
Fig. 4. Effect of implementing “pivoting” compressors on the compressor-capacity used in a large-sized supermarket for such operating conditions where the Multi Ejector block is regulating the high-pressure.
Как можно видеть, наименьшее значение «неиспользуемой производительности» отображается при самой высокой температуре, при которой используется наибольший процент номинальной производительности компрессора. Для этого необходимы четыре компрессора (IT) и два компрессора (LT). Интересно отметить, что в этом случае компрессор с частотным приводом, используемый в секции MT, отключается, поскольку эжектор способен перекачивать весь хладагент от уровня давления MT до уровня давления в промежуточном сосуде. Когда компрессор МТ выключен, температуру кипения МТ невозможно активно контролировать, и она является следствием работы эжектора в данных условиях, как показано на рис. 5.
Рис. 5. Массовые расходы, температура кипения MT и коэффициент эжекции в зависимости от температуры на выходе из газоохладителя.
Fig. 5. Mass flows, MT evaporation temperature and entrainment ratio as a function of the gas.
В отличие от первого случая, относительно высокое значение «неиспользуемой производительности» при 40°C является результатом двух аспектов: во-первых, компрессоры LT должны быть рассчитаны на непрерывное обеспечение определенной доли нагрузки в случае поломки одного из них, во-вторых, компрессор с частотным приводом (ЧРП), используемый в секции МТ, выключен. Этот факт приводит к значительному потенциалу экономии энергии, поскольку весь поток сжимается при меньшем соотношении давлений, т.е. при использовании параллельных компрессоров. Температура кипения MT немного ниже заданного значения на уровне 40°C, что не является проблемой, поскольку эжектор способен удалять больше пара по отношению к давлению в промежуточном сосуде, если это давление поддерживается постоянным. Альтернативным подходом было бы увеличить заданное значение давления в параллельных компрессорах для достижения более высокой степени сжатия и снижения коэффициента эжекции. Это кажется выгодным решением из-за более низкой степени сжатия, при которой будут работать параллельные компрессоры, но ограничение, связанное с системой кондиционирования воздуха, может сдерживать эту альтернативу, в зависимости от конструкции испарителя, которая сильно зависит от метода теплообмена, т.е. прямого или косвенного охлаждения. Другим интересным подходом к увеличению производительности секции MT и включению компрессора MT с ЧРП (3) может быть «холодный накопитель тепловой энергии» (CTES) или аккумулятор холода. Дополнительная охлаждающая нагрузка позволяет избежать запуска/остановки компрессоров с ЧРП, что отражается на колебаниях температуры кипения и, следовательно, приводит к колебаниям температуры воздуха внутри витрины.
При более низкой температуре меньшее количество хладагента предварительно сжимается эжектором, что увеличивает требуемую производительность секции MT. Эта тенденция становится более заметной при переходе справа налево (см. рис. 4). При 30°C компрессоры MT разгружаются не так сильно, как при 40 и 35°C, что означает, что компрессор 4 используется в секции MT, в то время как ЧРП (компрессор 3) регулирует частоту вращения. При температуре 25 и 20°C компрессор 6 переключается на обеспечения основной производительности, необходимой на стадии сжатия MT, в то время как с компрессорами IT происходит обратное. Переход к более низким температурам на выходе из газоохладителя увеличивает значение «неиспользуемой производительности». При температуре ниже 20°C параллельные компрессоры не работают, клапан байпаса дроссельного газа (FGBV) понижает давление в промежуточном сосуде до уровня давления в испарителе, и весь массовый расход в системе должен быть сжат компрессорами MT (см. рис. 6).
Рис. 6. Влияние применения "переключающихся" компрессоров на производительность компрессора, используемого в крупном супермаркете для таких условий работы, когда эжектор выполняет функцию клапана регулирования высокого давления.
Fig. 6. Effect of implementing “pivoting” compressors on the compressor-capacity used in a large-sized supermarket for such operating conditions when the ejector performs as a high-pressure control valve.
На рис. 7 показано, что компрессоры MT и параллельные компрессоры эффективно используются в широком диапазоне условий эксплуатации. Таким образом, за счет меньшего количества установленных компрессоров можно снизить стоимость компрессорного агрегата. Кроме того, поскольку определение переключающегося компрессора подразумевает гибкое использование компрессорного агрегата, можно видеть, что производительность компрессора относительно высока как летом, так и зимой. Благодаря использованию технологии переключения производительность каждой секции не фиксируется, а может изменяться в зависимости от нагрузки и условий окружающей среды, подбирая комбинации компрессоров в зависимости от реальных потребностей. Это позволяет увеличить время использования каждого компрессора, устраняя проблему, с которой обычно сталкиваются в крупных супермаркетах. Фактически, как уже упоминалось выше, даже при использовании технологии переключения, если учитывать большую разницу в нагрузке (например, при работе на кондиционирование воздуха летом), часть мощности остается неиспользованной, но с меньшей отдачей по сравнению с многоэжекторной установкой без переключения.
Рис. 7. Массовый расход и использование компрессора в крупном супермаркете зимой и летом.
Fig. 7. Mass flows and compressor utilization in a large-sized supermarket both during winter and summer.
4.3 Система с возможностью переключения и эжектором в расчетных условиях
Компрессорный агрегат, выбранный в данной статье, выдерживает нагрузку на охлаждение в условиях частичной загрузки ступени MT от 100 до 20% от расчетной нагрузки. Все эти результаты не представлены здесь из-за ограничений по объему статьи. В качестве сценария обсуждения был выбран случай при температуре 35°C, поскольку он включает в себя различные динамические процессы, происходящие в системе. На рис. 8 показана фактическая производительность, необходимая в каждом сценарии. Для достижения хорошей экономии энергии при работе с частичной нагрузкой, которая происходит очень часто в течение дня, очень важна производительность компрессорных установок. На первой диаграмме, начиная слева направо, эжектор захватывает слишком много хладагента, и, следовательно, температура кипения снижается, достигая нового равновесия, при котором весь поток, выходящий из испарителей, захватывается эжектором. Причина, по которой на второй диаграмме рис. 8 имеются два случая при 60 и 70%, заключается в том, что в обоих случаях оставшегося количества хладагента, не захваченного эжектором, недостаточно для поддержания компрессора MT с ЧРП в рабочем состоянии. Однако, изменение температуры кипения может исправить ситуацию: в одном случае уровень температуры кипения MT незначительно повышается, что позволяет эжектору всасывать все, сохраняя в рабочем состоянии только параллельные компрессоры. Этот сценарий может быть проблематичным, так как значительно повышается температура кипения (при 70% она равна -0,9°C), что представляет собой проблему для обеспечения сохранности продуктов.
Рис. 8. Комбинации компрессоров, используемые при частичной нагрузке (Tgc,выход = 35 °C). В верхней части каждого столбца указана температура кипения.
Fig. 8. Compressor combinations adopted at part-load (Tgc,outlet = 35 °C). At the top of each column the evaporation temperature.
Другим вариантом является дальнейшее снижение температуры кипения (снижение коэффициента эжекции) до тех пор, пока массовый расход не станет таким, чтобы поддерживать минимальную частоту вращения компрессора с ЧРП (30 Гц). Как и в случае с расчетными условиями, только компрессор с ЧРП на 80% сжимает поток с уровня давления MT до уровня высокого давления. Интересно отметить, что смещение при использовании в параллельной секции при 80% расчетной нагрузки почти такое же, как при 90%, что вызвано влиянием степени переохлаждения на эжектор. Во-первых, из-за меньшего рабочего потока уменьшаются потери давления внутри смесительной камеры, что повышает ее производительность. Во-вторых, несмотря на то, что температура всасывания параллельных компрессоров фиксирована благодаря управлению перепускным клапаном, через теплообменник IHX при 80% расчетной нагрузке проходит меньше хладагента при незначительном увеличении переохлаждения. Таким образом, с одной стороны, при снижении нагрузки MT при уровне давления MT обеспечивается меньший расход, но компромисс между эжектором и IHX по-прежнему требует значительного количества предварительно сжатого хладагента.
На рис. 9 показано, как изменяется температура кипения MT в зависимости от процентной доли расчетной нагрузки, с учетом перегрева всасываемого потока эжектора, который может быть максимально равен температуре, достигаемой при смешивании двух потоков по общей массе (MT-LT). В тех условиях, когда эжектор забирает весь хладагент с уровня давления MTLT (от 20% до 70%), коэффициент эжекции увеличивается с увеличением процентной доли расчетной нагрузки из-за меньшего подъема давления, обусловленного более высокими значениями температуры кипения. Наименьшее значение коэффициента эжекции может быть зафиксировано на уровне 20% при резком увеличении перегрева потока на стороне всасывания. При заданном проценте нагрузки на охлаждение более низкая температура кипения будет влиять на перегрев потока на стороне всасывания, что, следовательно, влияет на коэффициент эжекции. Соответственно, если рассматривать фиксированную температуру кипения, то переход к более высокому перегреву приведет к снижению коэффициента эжекции. В диапазоне 60–90% система может работать с компрессором с ЧРП, используемым на ступени сжатия MT. При температуре кипения 80% температура по-прежнему остается на заданном уровне, но производительность эжектора такова, что он всасывает часть потока хладагента, поступающего из выходного отверстия пароохладителя, увеличивая перегрев всасываемого потока. При 90%-ной температуре всасывания температура насыщенного пара, выходящего из испарителей MT, равна температуре насыщенного пара, выходящего из испарителя MT, и нет необходимости отбирать поток из выходного отверстия пароохладителя. При частичной загрузке в диапазоне 60–90% перегрев на всасывании компрессора MT получается очень высоким, поскольку массовый расход LT относительно высок по сравнению с остаточным расходом испарителя MT. Такой сильный перегрев, несомненно, повлияет на производительность компрессора из-за потерь на перегрев во всасывающей магистрали, что приводит к высокой температуре на выходе при экстремальных условиях окружающей среды и снижает способность сжимать определенное количество хладагента.
Рис. 9. Профиль температуры кипения при частичной нагрузке при tgc,выход = 35 [°C], PP = 89 [бар] (прямая линия = всасывание только через эжектор; пунктирная линия = работа компрессора MT).
Fig. 9. Evaporating temperature profile at part-load conditions with Tgc,outlet = 35 [°C], pHP = 89[bar] (straight line = only ejector sucking; dotted line = MT compressor in operation).
4.4 Астатическое регулирование уровня давления в промежуточном сосуде
Температура кипения оказывает существенное влияние на количество требуемых циклов оттайки и, соответственно, на срок годности продуктов, хранящихся в холодильных камерах. Когда температура кипения отклоняется от заданного значения в сторону более низких значений, требуется больше циклов оттайки, что особенно актуально при самой высокой исследуемой температуре, соответсвующей слишком высокой производительности эжектора. Одним из способов решения этой проблемы является астатическое регулирование уровня давления в промежуточном сосуде. Оно позволяет полностью отказаться от компрессоров МТ и в какой-то мере сохранить производительность эжектора за счет компромисса между коэффициентом эжекции и подъемом давления. При выборе этого варианта управление нагрузкой системы кондиционирования не является приоритетным, и температура воды на выходе в охлаждающем испарителе повышается, что ставит под угрозу тепловой комфорт внутри супермаркета. Однако, два альтернативных решения могут расширить применимость такой стратегии. Во-первых, если теплообмен с внутренней средой происходит через вторичную среду (воду), испаритель системы кондиционирования необходимо подбирать в соответствии с самой высокой температурой кипения. Байпас позволяет регулировать производительность в зависимости от необходимости, но недостаток заключается в том, что наличие нескольких теплообменников с их относительными потерями снижает общую эффективность системы отопления и охлаждения. Во-вторых, R744 в качестве хладагента позволяет применять прямое охлаждение, снижая общие затраты, но уделяя особое внимание монтажу трубопроводов из-за высокого рабочего давления.
Учитывая условия частичной загрузки при температуре 40°C на выходе из газоохладителя, на рис. 10 показано, как давление в промежуточном сосуде достигает новой точки равновесия, при которой весь поток хладагента сжимается компрессорами IT. При очень высокой производительности эжектора, а значит, при очень низкой частичной нагрузке, происходит повышение давления в промежуточном сосуде. Было замечено небольшое влияние на поток через испарители MT из-за более высокого количества пара на входе в испаритель, когда давление в промежуточном сосуде поднимается до более высоких значений. В целом, общее энергопотребление снижается за счет меньшего подъема давления в параллельных компрессорах, что компенсирует увеличение общего расхода (см. рис. 11). При приближении к расчетным условиям снижение энергопотребления уменьшается. Выбор различных стратегий влияет на комбинацию компрессоров, изменяя скорость вращения компрессора с ЧРП.
Рис. 10. Колебания давления в промежуточном сосуде и разница в расходе хладагента между двумя вариантами для частичной загрузки при Tgc, выход = 40 [°C].
Fig. 10. Fluctuation of the receiver pressure and difference in terms of refrigerant flow between the two strategies, for part-load at Tgc,outlet = 40 [°C].
Рис. 11. Сравнение комбинаций компрессоров и энергопотребления в двух вариантах при частичной нагрузке (Tgc, выход = 40 [°C]).
Fig. 11. Comparison compressor combinations and power consumptions between the two strategies at part-loads (Tgc,outlet = 40 °C).
4.5 Анализ затрат
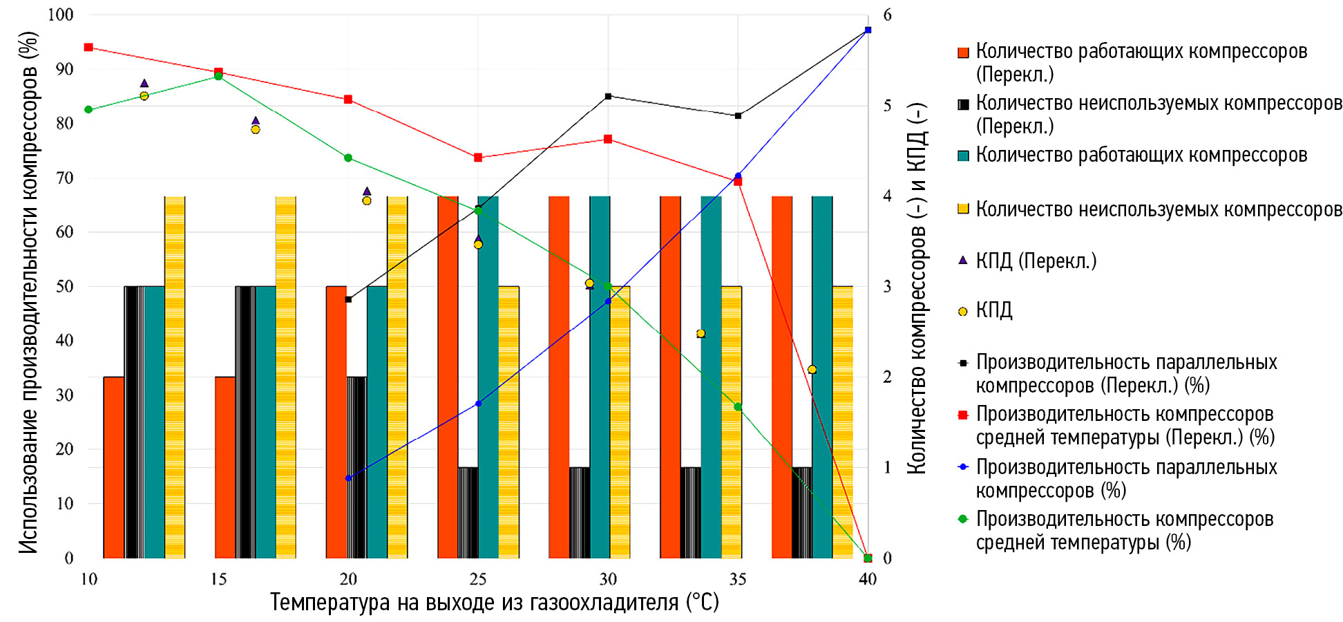
Был проведен упрощенный анализ затрат, чтобы показать преимущества использования переключающихся компрессоров. Учитывались только затраты на компрессоры и многоэжекторную установку, предполагая, что стоимость многоэжекторной установки находится в том же порядке величины, что и компрессор, и пренебрегая затратами на другое оборудование (включая клапаны, которые превращают компрессор в «переключающийся»). На рис. 12 показано, как использование переключающего устройства позволяет сократить количество компрессоров и компенсировать стоимость многоэжекторной установки. В системе без технологии переключения требуются два дополнительных компрессора, а их постоянная работа в одной секции значительно снижает гибкость и продолжительность работы каждого компрессора. На рис. 13 показано следующее из этого преимущество технологии переключения: увеличивается среднегодовое время работы компрессоров, что должно положительно сказаться на затратах на техническое обслуживание. Из-за большой разницы в нагрузках, условиях окружающей среды и использовании эжектора количество неиспользуемых компрессоров в системе без поддержки их переключения увеличивается в течение всего года. В летнее время два или три компрессора MT обычно выключены, в то время как зимой простаивают все компрессоры IT. Концепция переключения рассматривается как ключевой момент, способствующий повышению компактности систем, их экономической эффективности в супермаркетах среднего и большого размера, сокращению времени работы компрессорной установки, одновременно поддерживая распространение эжекторов и связанное с ними повышение эффективности. Кроме того, переключающаяся система не снижает КПД, но в некоторых случаях он даже выше, что в значительной степени зависит от эффективности компрессорных агрегатов, которая зависит от частоты вращения компрессоров с ЧРП.
Рис. 12. Упрощенный анализ затрат.
Fig. 12. Simplified cost analysis.
Рис. 13. Использование производительности компрессоров, количество работающих компрессоров и сравне-ние коэффициента полезного действия при переключении системы и при отсутствии переключения.
Fig. 13. Compressors capacity utilization, number of compressors in operation and COP comparison between system pivoting and no pivoting supported.
Дополнительный способ еще больше сократить количество компрессоров на испытательном стенде — сделать переключающимися даже компрессоры с ЧРП (см. рис. 14). Это позволяет с большей гибкостью отслеживать изменения холодильной нагрузки, о чем свидетельствуют значения неиспользуемой производительности. Для поиска наиболее подходящих комбинаций необходимо провести тщательное исследование эффективности ступеней компрессора.
Рис. 14. Эффект от внедрения "переключения" во всех компрессорах (MT-IT), установленных на предприятии.
Fig. 14. Effect of implementing “pivoting” in all the compressors (MT-IT) installed in the facility.
5. Выводы и дальнейшая работа
В данной статье рассматривается реализация концепции переключающихся компрессоров в крупном супермаркете, расположенном в Южном регионе, подтверждается положительный эффект от ее внедрения с точки зрения установленной мощности и, следовательно, затрат на капиталовложения и техническое обслуживание. В исследованных сценариях можно отказаться от двух компрессоров, реализовав концепцию переключения. Главный вывод из этого исследования заключается в том, что преимущества переключающего устройства становятся необходимыми для широкого распространения холодильных систем следующего поколения на базе R744 в странах с теплым климатом. Поскольку эжектор является устройством, которое оказывает сильное положительное влияние на производительность, а также на распределение охлаждающей нагрузки по двум ступеням сжатия, использование переключающихся компрессоров становится решающим. При наличии потребности в кондиционировании воздуха увеличивается разница в производительности между параллельной группой всасывания и группой всасывания MT, что требует наличия схемы переключения во избежание неоправданных затрат (например, компрессор, который работает всего несколько часов в год). Было проведено сравнение двух стратегических систем управления, в ходе которого было отмечено, что астатическое регулирование давления в промежуточном сосуде обычно не является жизнеспособным решением. Следующим шагом будет анализ возможности «переключения» обоих компрессоров с ЧРП, что еще больше повысит гибкость агрегата и, таким образом, еще на единицу сократит количество установленных компрессоров. Кроме того, следует разработать подходящую систему управления.
Благодарности
Авторы выражают благодарность за поддержку, полученную от Исследовательского совета Норвегии и партнеров-пользователей через HighEFF — Центр энергоэффективной и конкурентоспособной промышленности будущего, 8-летний исследовательский центр, работающий в рамках программы FME (Центр экологичных энергетических исследований, 257632/E20).
Acknowledgments
The authors gratefully acknowledge the support received from the Research Council of Norway and user partners through HighEFF — Centre for an Energy Efficient and Competitive Industry for the Future, an 8-year Research Centre under the FME-scheme (Centre for Environment-friendly Energy Research, 257632/E20).
Дополнительная информация
Настоящая статья представляет собой перевод статьи Contiero L., Pardiñas Á., Hafner A. Multi Ejector and pivoting-supported R744 application with AC for supermarkets. In: Proceedings of the 9th IIR Conference on the Ammonia and CO2 Refrigeration Technologies. Ohrid: IIF/IIR, 2021. doi: 10.18462/iir.nh3-co2.2021.0019
Публикуется с разрешения правообладателя.
Additional information
This article is a translation of the article by Contiero L, Pardiñas Á, Hafner A. Multi Ejector and pivoting-supported R744 application with AC for supermarkets. In: Proceedings of the 9th IIR Conference on the Ammonia and CO2 Refrigeration Technologies. Ohrid: IIF/IIR, 2021. doi: 10.18462/iir.nh3-co2.2021.0019
Published with the permission of the copyright holder.
About the authors
Luca Contiero
Norwegian University of Science and Technology
Author for correspondence.
Email: luca.contiero@ntnu.no
Norway, Trondheim
Ángel Pardiñas
SINTEF Energi AS
Email: angel.a.pardinas@sintef.no
Norway, Trondheim
Armin Hafner
Norwegian University of Science and Technology
Email: Armin.Hafner@ntnu.no
Norway, Trondheim
References
- EPEE, Achieving the EU HFC Phase Down: The EPEE “Gapometer” Project. EPEE; 2015.
- Karampour M, Sawalha S. State-of-the-art integrated CO2 refrigeration system for supermarkets: A comparative analysis. International Journal of Refrigeration. 2018;86:239–257. doi: 10.1016/j.ijrefrig.2017.11.006
- Hafner A, Fredslund K, Banasiak K. Next generation R744 refrigeration technology for supermarkets. In: Proceedings of the 24th IIR International Congress of Refrigeration, Yokohama, Japan. IIF/IIR, 2015.
- Pardiñas ÁÁ, Hafner A, Banasiak K. Novel integrated CO2 vapour compression racks for supermarkets. Thermodynamic analysis of possible system configurations and influence of operational conditions. Applied Thermal Engineering. 2018;131:1008–1025. doi: 10.1016/j.applthermaleng.2017.12.015
- Pardiñas ÁÁ, Contiero L, Hafner A, et al. Attaining a higher flexibility in CO2 compressor racks. In: Proceedings of the 14th IIR-gustav Lorentzen Conference on Natural refrigerants, IIR. IIR; 2020. doi: 10.18462/iir.gl.2020.1123
- Nakagawa M, Marasigan AR, Matsukawa T. Experimental analysis on the effect of internal heat exchanger in transcritical CO2 refrigeration cycle with two-phase ejector. International Journal of Refrigeration. 2011;34(7):1577–1586. doi: 10.1016/j.ijrefrig.2010.03.007
- Elbel S. Historical and present developments of ejector refrigeration systems with emphasis on transcritical carbon dioxide air-conditioning applications. International Journal of Refrigeration. 2011;34(7):1545–1561. doi: 10.1016/j.ijrefrig.2010.11.011
- Elbel S, Hrnjak P. Experimental validation of a prototype ejector designed to reduce throttling losses encountered in transcritical R744 system operation. International Journal of Refrigeration. 2008;31(3):411–422. doi: 10.1016/j.ijrefrig.2007.07.013
Supplementary files

















