Modified efficiency-NTU method (m-ε-NTU) for calculating air coolers in dehumidifying or frost conditions. Part IV
- Authors: Portyanikhin V.A.1
-
Affiliations:
- Bauman Moscow State Technical University
- Issue: Vol 110, No 4 (2021)
- Pages: 225-230
- Section: Original Study Articles
- URL: https://freezetech.ru/0023-124X/article/view/108668
- DOI: https://doi.org/10.17816/RF108668
- ID: 108668
Cite item
Abstract
In the fourth part of the article, the algorithm for applying the newly developed the m-ε-NTU method for calculating air coolers in dehumidifying or frost conditions is described step by step, and its comparison with the method of segmented division of the heat exchanger is also given. This comparison showed good convergence of the calculation results with a multiple reduction in their execution time. The value of the deviation of the calculated value of thermal power calculated using the newly developed method from the same value calculated using the method of segmented division averaged 3.23% modulo and does not exceed 4.5% modulo. When the heat exchanger is divided into 40 segments, the execution time of the calculation programs increases approximately 18 times compared to using the newly developed method, which can be called a significant advantage of the latter. Considering the above, the newly developed method can be widely used for the selection of air coolers, their verification and design calculations.
BACKGROUND: A universal method for calculating air coolers that is applicable to design and verification calculations is necessary. The method should consider the effect of dehumidification and frosting on the heat exchange process and allow the quick performance of many calculations to simulate the operation of refrigeration and air conditioning systems without significant loss of accuracy. However, this example of calculation method that addresses all the above-mentioned criteria is unavailable in the domestic and foreign literature.
AIM: This study develops a universal method for calculating air coolers that is applicable to design and verification calculations. This method considers the influence of dehumidification and frosting on the heat exchange process and allows the quick performance of many calculations to simulate the operation of refrigeration and air conditioning systems without significant loss of accuracy.
MATERIALS: The developed method for calculating air coolers is based on the classical approach of ε-NTU (efficiency– the number of heat transfer units) and is its adaptation, allowing consideration of the influence of dehumidification and frosting on the heat exchange process and performing the calculation (including the combined operating mode of the air cooler) without dividing the heat exchanger into separate segments. The estimation of the error of calculations performed using the developed method was conducted by comparing the calculated values of the thermal power of the device with those using the segmented division method for various operating modes (including combined).
RESULTS: Comparison with the segmented division method of the heat exchanger showed good convergence of the calculation results with multiple reductions in execution time. The deviation value of the calculated value of the thermal power computed using the developed method from that using the segmented division method averaged 3.23% modulo and did not exceed 4.5% modulo. When the heat exchanger was divided into 40 segments, the execution time of the calculation programs increased approximately 18 times compared to using the developed method, which can be called a significant advantage of the latter.
CONCLUSION: The division of the heat exchanger into segments for calculation does not result in a significant increase in accuracy compared with the new method. Thus, the developed m-ε-NTU method can be widely used for the selection of air coolers, their verification, and design calculations.
Full Text
ВВЕДЕНИЕ
В предыдущих частях данной статьи рассмотрены используемые на данный момент методы стационарных расчётов воздухоохладителей, работающих в режиме с влаговыпадением или инеевыпадением, продемонстрированы их преимущества и недостатки, а также мотивирована необходимость разработки новой математической модели. Вновь разработан метод расчётов, применимый к воздухоохладителям, работающим в «сухом» (без влаговыпадения и инеевыпадения), «мокром» (с влаговыпадением или инеевыпадением на всей поверхности) или комбинированном (с влаговыпадением или инеевыпадением на части поверхности) режимах — как для противоточных и прямоточных воздухоохладителей без фазового перехода охлаждающей среды, так и для случаев с её фазовым переходом.
В данной (последней) части статьи будет пошагово изложен алгоритм применения вновь разработанного метода, а также будет приведено его сравнение с методом посегментного разбиения теплообменного аппарата.
АЛГОРИТМ ПРИМЕНЕНИЯ
Примечание: префиксы номеров формул соответствую частям статьи.
Резюмируя сказанное ранее, можно выделить следующий алгоритм применения разработанной методики:
- Принять, что воздухоохладитель работает в «сухом» режиме — влаговыпадение отсутствует на всей поверхности ТОА. Тогда необходимо определить:
- Если хотя бы одна из температур, полученных в подп. 1.6, ниже или равна температуре точки росы воздуха на входе, принять, что воздухоохладитель работает в «мокром» режиме — влаговыпадение происходит на всей поверхности ТОА.
Тогда необходимо определить:
- Если хотя бы одна из температур стенки со стороны воздушного потока, полученных в подп. 2.9, выше температуры точки росы воздуха на входе, воздухоохладитель работает в комбинированном режиме — влаговыпадение происходит на части поверхности ТОА. Если схема течения противоточная или охлаждающая среда кипит при постоянной температуре, то необходимо определить следующее1:
СРАВНЕНИЕ С МЕТОДОМ РАЗБИЕНИЯ НА СЕГМЕНТЫ
Рис. 1. Разбиение ТОА на сегменты.
Fig. 1. Division of the heat exchanger into segments.
В качестве альтернативной методики расчетов воздухоохладителей для сравнения выбран подход посегментного разбиения: ТОА рассматривается как множество связанных между собой сегментов, режим работы каждого из которых рассчитывается отдельно; при этом выходные параметры рабочих сред предшествующего сегмента являются входными для последующего (рис. 1). К примеру, данный подход использовался в работах [1–3].
Очевидно, при увеличении количества сегментов точность расчета повышается, как минимум из-за того, что все теплофизические свойства рабочих веществ и температуры стенки определяются на каждом из сегментов — интегрально.
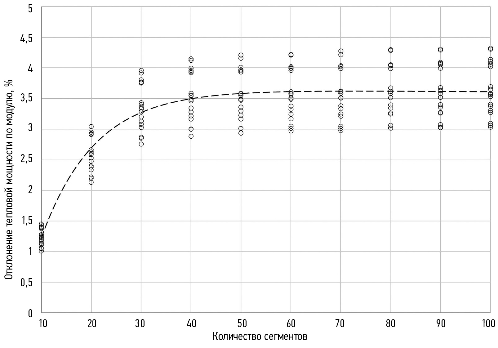
Сравнение произведено для множества режимов работы противоточного воздухоохладителя (включая комбинированный), в качестве рабочего вещества в котором использовалась вода при температуре на входе +7 °C и на выходе +12 °C. Коэффициент теплоотдачи со стороны воздуха определялся в соответствии с [4], а со стороны холодоносителя — в соответствии с [5]. Значение отклонения расчётной величины тепловой мощности, вычисленной с использованием вновь разработанного метода, от той же величины, вычисленной при помощи метода посегментного разбиения, в среднем составило 3,23% по модулю и не превышает 4,5% по модулю (см. рис. 2). Данное отклонение в первую очередь связано с определением теплофизических свойств рабочих веществ. В разработанной методике они находятся при параметрах на входе и выходе, а все критерии подобия вычисляются по их средним значениям. Как упоминалось ранее, в методе посегментного разбиения это происходит для каждого сегмента по отдельности.
Рис. 2. Отклонение от метода разбиения на сегменты.
Fig. 2. Deviation from the segmented division method.
На рис. 2 также хорошо видно, что разбиение ТОА на количество сегментов больше 40 нерационально, так как не ведет к значимому повышению точности расчета. На рис. 3 продемонстрировано усредненное соотношение времени расчетов, где значение для 1 сегмента соответствует вновь разработанному методу. Как видно, посегментное разбиение ТОА приводит к очень значительному увеличению времени выполнения расчетных программ. Например, при разбиении на 40 сегментов оно возрастает приблизительно в 18 раз по сравнению с использованием вновь разработанного метода, что можно назвать существенным преимуществом последнего. Это подтверждает тезис о нерациональности использования метода посегментного разбиения (как минимум при написании ПО для подбора оборудования), так как взамен на многократное увеличение времени, затраченного на расчёт, мы не получим значимого прироста в точности.
Расчетные программы написаны языке программирования Python и выполнялись с помощью его интерпретатора версии 3.8.10 для ОС Windows 11. Конфигурация ПК: центральный процессор IntelR CoreTM i7-8750H, 16 ГБ оперативной памяти.
Рис. 3. Соотношение времени расчетов.
Fig. 3. Calculation time ratio.
ЗАКЛЮЧЕНИЕ
Как отмечалось ранее, разбиение ТОА на сегменты для расчёта не приводит к значимому повышению их точности по сравнению с новым методом — значение отклонения расчётной величины тепловой мощности в среднем составило 3,23% по модулю и не превышает 4,5% по модулю, а напротив, очень существенно увеличивает время выполнения расчётных программ. К примеру, при разбиении ТОА на 40 сегментов время, затраченное на расчёты, увеличивается примерно в 18 раз по сравнению с использованием нового метода.
Учитывая вышесказанное, можно заключить, что вновь разработанный модифицированный метод эффективность-NTU (m-ε-NTU) может широко использоваться в целях подбора воздухоохладителей, их поверочных и конструкторских расчетов.
ДОПОЛНИТЕЛЬНО
Конфликт интересов. Автор заявляет об отсутствии конфликта интересов.
Источник финансирования. Автор заявляет об отсутствии внешнего финансирования.
ADDITIONAL INFORMATION
Competing interests. The author declares no conflict of interest
Funding source. This study was not supported by external sources of funding.
1 В противном случае (при прямотоке или перекрестном токе) значение fdry определяется итеративным путем. Также необходимо учитывать, что влаговыпадение может начаться и на входе воздуха в ТОА, а выходной участок — будет сухим.
About the authors
Vladimir A. Portyanikhin
Bauman Moscow State Technical University
Author for correspondence.
Email: v.portyanikhin@ya.ru
ORCID iD: 0000-0003-4616-074X
SPIN-code: 6267-7392
Ph. D. student of the E4 Department "Refrigeration, cryogenic equipment, air conditioning and life support systems"
Russian Federation, 1 Lefortovskaja naberezhnaya, 105005 MoscowReferences
- Pirompugd W, Wongwises S, Wang CC. A tube-by-tube reduction method for simultaneous heat and mass transfer characteristics for plain fin-and-tube heat exchangers in dehumidifying conditions. Heat and Mass Transfer. 2005;41(8):756–765. doi: 10.1007/s00231-004-0581-x
- Pirompugd W, Wongwises S, Wang CC. Simultaneous heat and mass transfer characteristics for wavy fin-and-tube heat exchangers under dehumidifying conditions. International Journal of Heat and Mass Transfer. 2006;49(1-2):132–143. doi: 10.1016/j.ijheatmasstransfer.2005.05.043
- Wang J, Hihara E. Prediction of air coil performance under partially wet and totally wet cooling conditions using equivalent dry-bulb temperature method. International Journal of Refrigeration. 2003;26(3):293–301. doi: 10.1016/S0140-7007(02)00132-9
- Kim NH, Yun JH, Webb RL. Heat transfer and friction correlations for wavy plate fin-and-tube heat exchangers. Journal of Heat Transfer. 1997;119(3):560–567. doi: 10.1115/1.2824141
- Gnielinski V. New equations for heat and mass transfer in turbulent pipe and channel flow. Int Chem Eng. 1976;16(2):359–368.
Supplementary files






