Local cryotherapy investigation on the biotissue phantom
- Authors: Saakyan N.Y.1, Pushkarev A.V.1
-
Affiliations:
- Bauman Moscow State Technical University
- Issue: Vol 111, No 3 (2022)
- Pages: 181-188
- Section: Original Study Articles
- URL: https://freezetech.ru/0023-124X/article/view/112350
- DOI: https://doi.org/10.17816/RF112350
- ID: 112350
Cite item
Abstract
BACKGROUND: Local cryotherapy (LC) is a physiotherapeutic method for the treatment of various diseases, including musculoskeletal disorders. The physician relies on his experience and the data from the LC equipment manufacturer for the given method and exposure modes. This is not sufficient to determine the correct dosing and to understand the effect of the various treatment parameters on the biotissue to have precise control over the effects of the treatment on the biotissues. Hence, it is imperative to conduct a study of different LC methods and modes to perform effective and safe treatments. The surface temperature of the biotissue is a convenient measurable quantity to ensure efficiency and safety. Previous studies show that the target temperature is 10 ± 2 °C, with a lower limit of 0 °C. If the temperature drops below 0 °C, then tissue damage is possible.
AIM: Experimental comparison and identification of the most suitable modes in two methods of contactless local cryotherapy.
MATERIALS AND METHODS: An experimental installation was developed and created. A series of experiments were carried out on a model medium with thermophysical properties close to those of the biotissues. The comparison of liquid nitrogen and air cooling was performed. The temperature was measured with resistance thermometers (Pt100) on a surface and inside of a model medium.
RESULTS: When cooled by liquid nitrogen vapors from a distance of 10 and 15 cm from the surface, the accepted average target temperature of 10 °C was reached in 1.8 and 4.4 min, and at a depth of 8 mm, the temperature was 26.4 and 23.7 °C, respectively. When cooled with air from a distance of 10 cm from the surface with maximum and minimum flow, the target temperature was reached in 2.5 and 13.3 min, at a depth of 8 mm, the temperature was 22.9 and 16.0 °C, respectively. Although air cooling from a distance of 15 cm was not possible to lower the temperature down to the target value, the less intense flow made it possible to lower the internal temperature in the model medium more strongly while having a weaker effect on the surface. This effect can potentially be positive in the treatment of musculoskeletal disorders, mainly joints.
CONCLUSIONS: Among those tested, the most suitable modes of the considered methods that meet the requirements of efficiency, safety, and convenience of practical implementation were identified. For cooling using liquid nitrogen vapors, this is a mode spraying at a distance of 15 cm with a stable technique with a possible exposure time of 4.4 to 15 minutes. For air cooling, this is a mode with a stable technique with a constant flow with the nozzle fixed relative to the surface of the model medium at a distance of 10 cm with a minimum flow rate (350 l/min) with a possible exposure time of 13.3 to 21.5 min.
Full Text
ВВЕДЕНИЕ
Локальное криовоздействие – один из методов физиотерапевтического лечения [1]. С точки зрения теплообмена, ЛКТ – это процесс отведения теплоты от локальной области биоткани и, следовательно, снижение температуры. При этом достигаются различные эффекты, основные из которых: обезболивание и уменьшение воспаления [2, 3]. В настоящей работе сделан акцент на болезнях суставов, относящихся к патологиям костно-мышечной системы. Указанные болезни являются одной из основных причин инвалидизации населения и главным фактором, обуславливающим потребность в реабилитационных услугах [4, 5]. Актуальность выбора области воздействия подчеркивается, изложенными ниже зарубежными и Российскими исследованиями. Дашина Т.А. и Агасаров Л.Г. изучали эффективность воздействия льдом при 0 °С, потоками воздуха при минус 30 °С и углекислого газа под давлением при минус 78 °С. Были обследованы 150 пациентов с остеоартрозом коленного и тазобедренного сустава II—IV стадии. Авторы [6] пришли к выводу о сопоставимости всех способов ЛКТ с нестероидными противовоспалительными препаратами по влиянию на «функцию» и превосходство их по воздействию на «боль» и «скованность» в суставах. Jin Park исследовал влияние ЛКТ на силу разгибателей коленного сустава и способности балансировать у 7 пациентов с тотальным эндопротезированием коленного сустава. Было показано [7], что применение данного метода после реабилитационных упражнений улучшает показатели мышечной силы. Исследование X. Guillot и соавторов было направлено на изучение терапии криопакетами и потоком углекислого газа под давлением при минус 78 °С на воспаление при артрите в коленном суставе. Результаты [8, 9] показали снижение уровня синовиального белка IL-6, IL-1β и VEGF и уменьшение воспаления. F.G. Oosterveld и J.J. Rasker исследовали влияние локального охлаждения и нагревания поверхности кожи на внутрисуставную температуру у пациентов с артритом коленного сустава. Для пациентов первой группы применялись криопакеты со льдом при 0 °C в течение 30 минут на передней, медиальной и латеральной частях колена. Для второй группы использовался обдув парами азота в течение 6,5 минут при температуре -160 °С. Температура поверхности кожи в первом случае снизилась с 32,2±0,5 до 16,0±1 °С, во втором – с 32,6±0,4 до 9,8±1,4 °С. Внутрисуставная температура при этом уменьшилась с 35,5±0,4 до 29,1±1,1 °С и с 35,8±0,4 до 32,5±0,8 °С соответственно (см. [10]). Y.H. Kim и соавторы в [11] исследовали воздействие обдува воздушного потока при -30 °С в течение 5 минут в области коленного сустава на внутрисуставную и поверхностную температуры. Температура поверхности кожи снизилась с 31,8±1,0 до 9,7±2,9 °С. Внутрисуставная температура с 33,9±1,2 °С начала уменьшаться во время процедуры и продолжила снижаться после, достигнув минимума 30,0±1,8 °С через 30 минут. A. Radecka и соавторы (см. [12]) исследовали изменение температуры поверхности кожи в области коленного сустава в ответ на 3-минутное воздействие парами жидкого азота с расстояния 10–15 см, холодным воздухом с расстояния 2-5 см и криопакетом, наполненным кубиками льда общей массой 1,1 кг. Температура после процедуры снизилась с 29,18±1,11 до 19,02±2,07 °С, до 22,55±2,28 °С и до 21,52±1,36 °С при охлаждении парами азота, воздухом и криопакетом соответственно. Пары азота вызвали самое большое понижение температуры, тогда как охлаждение воздухом и криопакетами со льдом отличалось друг от друга незначительно по итоговой температуре.
Проводятся и другие исследования в данном направлении [13–18], но в основном они все сосредоточены на выявление того или иного эффекта без привязки к целевой температуре поверхности области воздействия и необходимым режимам различных способов ЛКТ. Проведенный нами анализ показывает, что целевая температура поверхности кожи составляет 10±2 °С, предельная – 0 °С, при опускании ниже которой возможно повреждение тканей. Основываясь на данных значениях, авторы провели исследование ЛКТ контактным способом с использованием криопакетов и выявили наиболее подходящий режим [19]. В рамках настоящей работы рассматриваются бесконтактные способы ЛКТ обдувом парами жидкого азота и воздуха.
ЦЕЛЬ
Целью данной работы является экспериментальное сравнение и выявление наиболее подходящих режимов двух различных способов бесконтактной ЛКТ.
МАТЕРИАЛЫ И МЕТОДЫ
В настоящем исследовании проведена серия экспериментов по охлаждению модельной среды – геля для ультразвуковых исследований с теплофизическими свойствам, близкими к биотканям [20, 21]. Был разработан и создан экспериментальный стенд с возможностью исследования характеристик различных режимов бесконтактных способов ЛКТ (рис. 1).
Рис. 1. Схема экспериментального стенда. Первый модуль: Система создания и поддержания начальной температуры модельной среды: 1 – жидкостный термостат (Termex, M01MB); 2 – насос (KNF, PML13229-NF 60); 3 – внешняя стеклянная емкость, по которой циркулирует вода. Модельная среда: 4 – модельная среда в стеклянной емкости 90x90x100 мм. Система крепления: 5 – крепежная система температурных датчиков. Измерительная система: 6 – термометры сопротивления Pt100; 7 – вторичный преобразователь – модуль аналогового ввода (ОВЕН, МВ110); 8 – ПК. Второй модуль: 9 – штатив с лапкой; 11 – система для выдачи азота (ООО "Криогенные приборы scientific director of the research ", LNS-150W48V-PT-PS-LSCOM); 12 – теплоизолированный шланг; 13 – сосуд Дьюара (ООО "НПО "Криомаш", СПД 25/60); 14 – экспериментальный аппарат для локальной воздушной криотерапии (АО "ЦНИИ "Курс", ЛАКТ 1000).
Измерение температуры происходило термометрами сопротивления Pt100 на поверхности и на глубине 8 мм. Это значение больше толщины кожного покрова человека, составляющей от 0,5 до 5 мм в зависимости от участков тела. В качестве способов ЛКТ были выбраны азотный и воздушный обдув. Последовательность проведения эксперимента состояла из следующих этапов. Происходило позиционирование емкости с модельной средой с установленными заранее датчиками во внешнюю емкость. Далее выполнялось предварительное позиционирование второго модуля относительно емкости с модельной средой. Включалась измерительная система с программой считывания данных и запускалась циркуляция воды через внешнюю емкость. Нагрев модельной среды до условно принятой средней температуры целевой области биоткани (30 °С) контролировался с помощью датчиков. После достижения по всему объему заданной температуры выполнялось позиционирование второго модуля на воздействие – начало обдува поверхности. Осуществлялся мониторинг понижения температуры на поверхности и на глубине до принятых целевого и предельного по безопасности значений. В случае достижения предельного по безопасности значения 0 °С на поверхности модельной среды или же стабилизации температуры до минимального значения на поверхности/глубине эксперимент завершался. Полученные данные сохранялись и обрабатывались.
Азотная ЛКТ
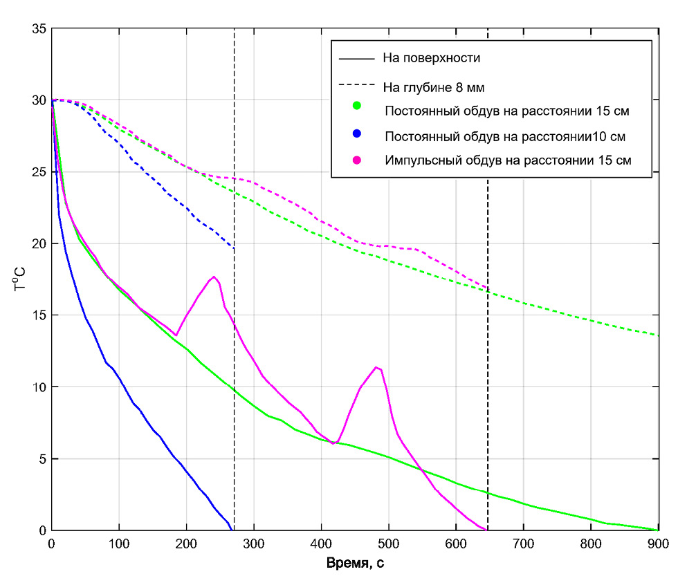
В рамках бесконтактного способа охлаждением парами азота исследовались режимы на основе варьирования расстояния от насадки до модельной среды и кратности воздействия в виде постоянного или импульсного потоков. Расход азота был постоянным и равнялся 30 л/мин, температура паров жидкого азота на выходе из насадки достигала -90 °С из-за потерь теплоты в подводящем шланге. Использовалась стабильная методика воздействия с фиксацией насадки относительно поверхности модельной среды. Диаметр насадки был равен 12 мм. Исследовались следующие режимы: 1) постоянное охлаждение на расстоянии 10 см от насадки до поверхности воздействия; 2) постоянное охлаждение на расстоянии 15 см от насадки до поверхности воздействия; 3) импульсное охлаждение на расстоянии 15 см до поверхности в виде 3-минутного обдува с 1-минутным отогревом. Охлаждение шло до тех пор, пока температура на поверхности модельной среды не достигало 0 °С. Дальнейшее понижение температуры приводило к кристаллизации модельной среды.
Воздушная ЛКТ
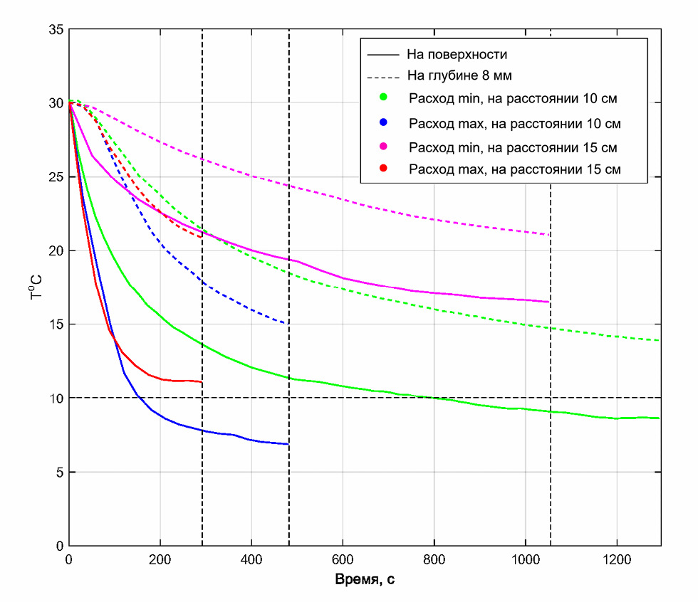
В рамках бесконтактного способа охлаждения потоком воздуха исследовались режимы на основе варьирования расстояния от насадки до модельной среды и расхода. Использовалась стабильная методика воздействия с постоянным потоком с фиксацией насадки относительно поверхности модельной среды, температура воздуха на выходе из насадки составляла -30 °С, диаметр насадки был равен 10 мм. Исследовались следующие режимы: 1) расстояние 10 см от насадки до поверхности с расходом воздуха 350 л/мин; 2) расстояние 10 см от насадки до поверхности с расходом воздуха 740 л/мин; 3) расстояние 15 см от насадки до поверхности с расходом воздуха 350 л/мин; 4) расстояние 15 см от насадки до поверхности с расходом воздуха 740 л/мин. Охлаждение проводилось до стабилизации минимальной температуры на поверхности, заключающейся в скорости снижения температуры поверхности менее чем на 0,2 °С/мин.
РЕЗУЛЬТАТЫ
Проведено по три повторных эксперимента каждого режима для подтверждения воспроизводимости результатов. Расхождение по температуре в абсолютном значении не превышало 0,5 °С, что является приемлемым. Далее описаны и показаны усредненные полученные результаты в виде графика для азотной (рис. 2) и воздушной ЛКТ (рис. 3).
Рис. 2. Изменение температуры модельной среды при азотной ЛКТ.
Рис. 3. Изменение температуры модельной среды при воздушной ЛКТ.
Азотная ЛКТ
При охлаждении с расстояния 10 см от поверхности температура 10 °С была достигнута за 1,8 мин воздействия, 0 °С – за 4,5 мин. За это время температура на глубине 8 мм понизилась до 26,4 °С и до 19,7 °С соответственно. С расстояния 15 см температура поверхности понизилась до 10 °С за 4,4 мин, а до 0 °С – за 15 мин. При этом температура на глубине составила 23,7 и 13,6 °С соответственно. При импульсном режиме поверхностная температура понизилась до 10 °С за 5,5 мин, до 0 °С – за 10,8 мин. На глубине 8 мм температура понизилась до 23,5 °С и до 16,8 °С соответственно. Форма зоны охлаждения представляла форму круга, размеры зависели от расстояния насадки до поверхности модельной среды. Для расстояния 10 см радиус составлял 12 см, для расстояния 15 см – 18 см.
Воздушная ЛКТ
При охлаждении с расстояния 10 см от поверхности с минимальным расходом температура 10 °С была достигнута за 13,3 мин воздействия, а минимальная температура составила 8,6 °С на 21,5 мин. За это время температура на глубине 8 мм понизилась до 16,0 °С и до 13,9 °С соответственно. При охлаждении с расстояния 10 см от поверхности с максимальным расходом температура 10 °С была достигнута за 2,5 мин воздействия, минимальная температура составила 6,9 °С через 8 мин. Температура на глубине 8 мм понизилась до 22,9 и 15,0 °С соответственно. При охлаждении с расстояния 15 см с минимальным расходом температура поверхности снизилась до 16,5 °С за 17,5 мин, температура на глубине 8 мм составила 21,1 °С. Дальнейшее изменение температуры было незначительным. В случае обдува с расстояния 15 см с максимальным расходом, температура достигла минимального значения 11,1 °С за 4,8 мин, а на глубине 8 мм температура снизилась до 20,9 °С.
ОБСУЖДЕНИЕ
Азотная ЛКТ
Наибольшую скорость охлаждения поверхности способом распыления парами азота показал режим с постоянным потоком на расстоянии 10 см от поверхности. Однако более медленное охлаждение на поверхности с расстояния 15 см привело к более сильному охлаждению на глубине модельной среды. Этот эффект потенциально будет положителен при ЛКТ суставов при лечении болезней КМС, когда важно внутрисуставное понижение температуры. Время, за которое температура поверхности опустилась до 0 °С при импульсном охлаждении, было меньше на 4,2 мин по сравнению с постоянным охлаждением, а температура на глубине 8 мм выше на 3,2 °С. При исследуемом импульсном режиме во время естественного отогрева, температура поверхности повышалась на 4–5 °С, в то время как температура на глубине изменялась незначительно – менее 1 °С. При импульсном режиме с 3-х минутным охлаждением и 1-минутным естественным отогревом, температура поверхности снижается быстрее, а на глубине медленнее по сравнению с постоянным обдувом.
С точки зрения достижения целевой на поверхности и минимальной на глубине температур наиболее подходящий режим оказался режим со стабильной методикой воздействия с постоянным потоком с фиксацией насадки относительно поверхности модельной среды на расстоянии 15 см от насадки до поверхности воздействия с возможным временем воздействия от 4,4 до 15 мин.
Воздушная ЛКТ
Менее интенсивный поток (350 л/мин) позволил сильнее снизить температуру внутри модельной среды, при этом слабее воздействуя на поверхность. В случае проведения ЛКТ способом охлаждения парами жидкого азота наблюдалась подобная указанному режиму тенденция. Как уже было замечено, этот эффект потенциально будет положителен при ЛКТ суставов. Результаты показывают, что чем меньше скорость охлаждения, тем меньше разница между температурой на поверхности и внутри модельной среды. При недостаточной мощности охлаждения, температура на поверхности не доходит до целевого значения 10 °С, выбранного из условий эффективности. Из-за этого температура внутри модельной среды не достигает своего минимального значения и эффективность вероятно будет снижаться.
С точки зрения достижения минимальной температуры на глубине наиболее подходящий режим оказался режим со стабильной методикой воздействия с постоянным потоком с фиксацией насадки относительно поверхности модельной среды на расстоянии 10 см от насадки до поверхности воздействия с минимальным расходом воздуха (350 л/мин) с возможным временем воздействия от 13,3 до 21,5 мин.
Ограничения исследования
При азотной ЛКТ стоит учитывать, что результаты справедливы при данных температуре воздействия и расходе (30 л/мин) в системе выдачи. При других значениях расхода расстояние и время воздействия необходимо регулировать. Следует учитывать, что должна выполняться тенденция в сторону увеличения расстояния между трубкой и обдуваемой поверхностью, так как это приводит к более щадящему охлаждению поверхности и более глубокому охлаждению внутренней области.
ЗАКЛЮЧЕНИЕ
Наиболее эффективным и безопасным из исследованных способов локального криовоздействия является локальная воздушная криотерапия, так как вызывает наименьшее снижение поверхностной температуры и наибольшее ее снижение внутри фантома биоткани. Этот эффект потенциально положителен при воздействии на коленный сустав при приоритетном внутрисуставном охлаждении. При выборе режима охлаждения для любого способа локального криовоздействия, следует опираться на то, что более длительное воздействие приводит к наибольшему охлаждению на глубине. Ограничения по времени вызваны возможностью переохлаждения поверхности обрабатываемой зоны.
ДОПОЛНИТЕЛЬНАЯ ИНФОРМАЦИЯ
Вклад авторов. Н.Ю. Саакян — разработка экспериментальных стендов, проведение экспериментальных исследований, анализ экспериментальных результатов, сбор и анализ литературных источников, написание текста и редактирование статьи; А.В. Пушкарев — руководство исследованием, участие в проведении экспериментальных исследований, обработка экспериментальных результатов, сбор и анализ литературных источников, написание текста и редактирование статьи. Все авторы подтверждают соответствие своего авторства международным критериям ICMJE (все авторы внесли существенный вклад в разработку концепции, проведение исследования и подготовку статьи, прочли и одобрили финальную версию перед публикацией).
Источник финансирования. Исследование выполнено при поддержке гранта Президента Российской Федерации для государственной поддержки молодых российских ученых – кандидатов наук (МК-3631.2022.1.2).
Конфликт интересов. Авторы декларируют отсутствие явных и потенциальных конфликтов интересов, связанных с проведенным исследованием и публикацией настоящей статьи.
ADDITIONAL INFORMATION
Authors’ contribution. N.Y Saakyan — development of experimental installations, conducting experimental studies, analysis of experimental results; A.V. Pushkarev — scientific director of the research, participation in experimental research, processing of experimental results. All authors made a substantial contribution to the conception of the work, acquisition, analysis, interpretation of data for the work, drafting and revising the work, final approval of the version to be published and agree to be accountable for all aspects of the work.
Funding source. This work was supported by the Grant of the President of the Russian Federation for state support for young Russian scientists-candidates of science (MK-3631.2022.1.2)
Competing interests. The authors declare that they have no competing interests.
About the authors
Natalia Y. Saakyan
Bauman Moscow State Technical University
Author for correspondence.
Email: natali.saakyan@mail.ru
ORCID iD: 0000-0001-6799-5450
SPIN-code: 4390-3138
Student
Russian Federation, MoscowAleksandr V. Pushkarev
Bauman Moscow State Technical University
Email: pushkarev@bmstu.ru
ORCID iD: 0000-0002-1737-7838
SPIN-code: 5796-8324
Leading Engineer, Cand. Sci. (Tech.)
Russian Federation, MoscowReferences
- Bogolubov VM, Ponomarenko GY. General Physiotherapy. 3th ed. Moscow: Medicine; 1999. (In Russ).
- Portnov VV. Local air cryotherapy in clinical practice. Kremlin Medicine Journal. 2017;4(2):157–164. (In Russ).
- Harris ED Jr, McCroskery PA. The influence of temperature and fibril stability on degradation of cartilage collagen by rheumatoid synovial collagenase. The New England journal of medicine. 1974;290(1):1–6. doi: 10.1056/NEJM197401032900101
- Healthcare in Russia. 2021: stat. sat. Moscow: Rosstat; 2021. (In Russ).
- Cieza A, Causey K, Kamenov K, et al. Global estimates of the need for rehabilitation based on the Global Burden of Disease study 2019: a systematic analysis for the Global Burden of Disease Study 2019. The Lancet. 2021;396(10267):2006–2017. doi: 10.1016/S0140-6736(20)32340-0
- Dashina TA, Agasarov LG. Effectiveness of various methods of cryotherapy in patients with osteoarthritis. Voprosy kurortologii, fizioterapii, i lechebnoi fizicheskoi kultury. 2020;97(2):20–28. doi: 10.17116/kurort202097021207 (In Russ).
- Park J. The Effect of Cryotherapy of Total Knee Arthroplasty Patients on Muscle Strength and Balance. International Journal of Human Movement and Sports Sciences. 2021;9(4):746–750. doi: 10.13189/saj.2021.090419
- Douzi W, Guillot X, Bon D, et al. 1H-NMR-Based Analysis for Exploring Knee Synovial Fluid Metabolite Changes after Local Cryotherapy in Knee Arthritis Patients. Metabolites. 2020;10(11):460. doi: 10.3390/metabo10110460
- Guillot X, Tordi N, Laheurte C, et al. Local ice cryotherapy decreases synovial interleukin 6, interleukin 1β, vascular endothelial growth factor, prostaglandin-E2, and nuclear factor kappa B p65 in human knee arthritis: a controlled study. Arthritis research & therapy. 2019;21(1):180. doi: 10.1186/s13075-019-1965-0
- Oosterveld FG, Rasker JJ. Effects of local heat and cold treatment on surface and articular temperature of arthritic knees. Arthritis and rheumatism. 1994;37(11):1578–1582. doi: 10.1002/art.1780371104
- Kim YH, Baek SS, Choi KS, et al. The effect of cold air application on intra-articular and skin temperatures in the knee. Yonsei Medical Journal. 2002;43(5):621–6. doi: 10.3349/ymj.2002.43.5.621
- Radecka A, Pluta W, Lubkowska A. Assessment of the Dynamics of Temperature Changes in the Knee Joint Area in Response to Selected Cooling Agents in Thermographic Tests. International journal of environmental research and public health. 2021;18(10):5326. doi: 10.3390/ijerph18105326
- Alexeev KE, Zhemchuzhnova NL, Kuzmenko NV, Zhinko MN. Experience of the combined application of physiotherapeutic methods in rehabilitation coursein patients with goaty arthritis Early diagnosis and modern treatment methods at the stage of primary health care. In: Proceedings of the XII conference of the doctors of primary health care in Southern Russia; 2017 Nov 11; Rostov-on-Don. Rostov-on-Don: RGMU. 2017. P. 8–9. (In Russ).
- Smolenskiy AV, Kapustina NV, Hafizov NN. The informative value of diagnostic tests in urogenital tuberculosis screening. Russian Medical Journal. 2018;26(4-I):15–19.
- Bugaj R. The Cooling, Analgesic, and Rewarming Effects of Ice Massage on Localized Skin. Physical Therapy. 1975;55(1):11–19. doi: 10.1093/ptj/55.1.11
- Laktašić Žerjavić N, Hrkić E, Žagar I, et al. Local Cryotherapy, Comparison of Cold Air and Ice Massage on Pain and Handgrip Strength in Patients with Rheumatoid Arthritis. Psychiatria Danubina. 2021;33(4):757–761.
- Mourot L, Cluzeau C, Regnard J. Hyperbaric gaseous cryotherapy: effects on skin temperature and systemic vasoconstriction. Archives of physical medicine and rehabilitation. 2007;88(10):1339–1343. doi: 10.1016/j.apmr.2007.06.771
- Weeks V, Travell J. How to Give Painless Injections. In: AMA Scientific Exhibits Volume. New York: Grune and Stratton Inc; 1957. P. 318–322.
- Saakyan NY, Pushkarev AV. Target temperature range of local cryotherapy. In: Low temperatures in science and industry. BMSTU 2022: International Theoretical and Practical Conference. Okt 12–14 2022, Moscow. Moscow: MGTU im NE Baumana; 2022.P:21. (In Russ).
- Agafonkina IV, Belozerov AG, Berezovsky YM, et al. Thermal Properties of Biological Tissue Gel-Phantoms in a Wide Low-Temperature Range. Journal of Engineering Physics and Thermophysics. 2021;94(3):790–803. doi: 10.1007/s10891-021-02356-z
- Agafonkina IV, Belozerov AG, Vasilyev AO, et al. Thermal Properties of Human Soft Tissue and Its Equivalents in a Wide Low-Temperature Range. Journal of Engineering Physics and Thermophysics. 2021;94(1):233–246. doi: 10.1007/s10891-021-02292-y
Supplementary files






